v1.29.0 Benchmark

| minikube version: v1.29.0 | kind v0.17.0 go1.19.2 linux/amd64 | k3d version v5.4.6 | |
|---|---|---|---|
| Command Exec | 28.555 | 19.904 | 14.527 |
| API Server Answering | 0.070 | 0.089 | 0.107 |
| Kubernetes SVC | 0.063 | 0.066 | 0.098 |
| DNS SVC | 0.061 | 0.066 | 0.091 |
| App Running | 15.349 | 23.402 | 15.192 |
| DNS Answering | 8.699 | 0.631 | 3.407 |
| Total | 52.797 | 44.158 | 33.422 |

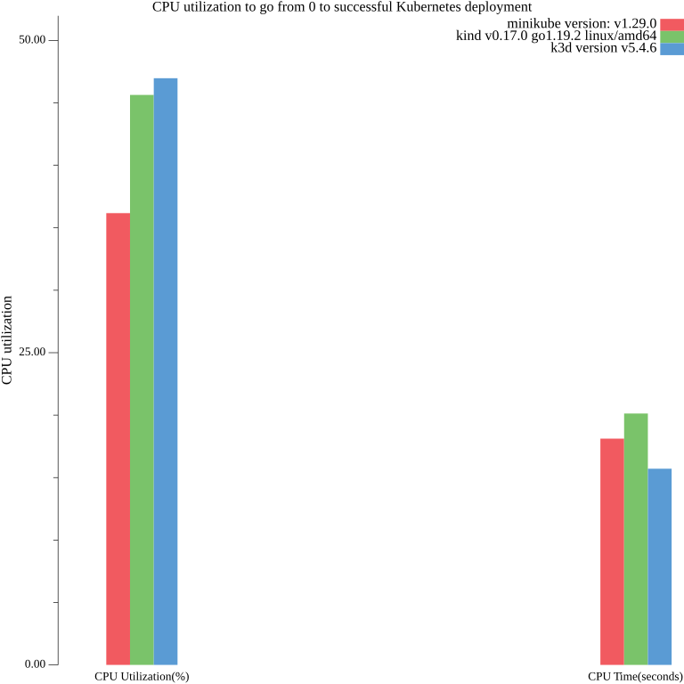
| minikube version: v1.29.0 | kind v0.17.0 go1.19.2 linux/amd64 | k3d version v5.4.6 | |
|---|---|---|---|
| CPU Utilization(%) | 36.175 | 45.639 | 46.976 |
| CPU Time(seconds) | 18.119 | 20.130 | 15.710 |
Feedback
Was this page helpful?
Glad to hear it! Please tell us how we can improve.
Sorry to hear that. Please tell us how we can improve.